摘要:雙螺桿擠出機機筒內部的流體流動區域截面是隨時間變化的復雜三連通區域,采取共形映射方法將這樣的三連通區域映射成不隨時間變化的圓界區域,進一步將流動區域變成一個不隨時間變化的柱形區域,可大幅簡化雙螺桿擠出機流體流動問題的計算。選擇以外邊界為圓周、內邊界為隨時間旋轉的兩個橢圓周的平面區域上的熱傳導問題為研究對象,用本文方法進行計算并比較了精確解和數值解,計算結果表明兩解的絕對誤差較小。本文方法可用于雙螺桿擠出機流體流動問題的計算,并簡化了計算過程。
引言
雙螺桿擠出機輸送效率高而且穩定,對于物料的處理更均勻,是塑料等高聚物生產的重要設備,因此雙螺桿擠出機內部聚合物流體的流動性態和數值模擬是一個熱門的研究課題。
雙螺桿擠出機內部的流體流動滿足的數學模型是三維的非牛頓流體動力學方程組,區域復雜且隨時間變化,因此是求解難點,通常直接采用有限元[1-3]等方法或將數學模型降維的方法來進行流體流動的數值求解,但缺點是難以精確有效。在此流體區域上求解雙螺桿擠出機擠出問題的另一個重要途徑是先將求解區域規則化,并在這個規則區域上進行流體計算。通常來說雙螺桿擠出機流體流動區域的截面是一個三連通區域,有3個邊界:外邊界是一個類似于8字形的外邊界,2個內邊界是兩根螺桿的截面邊界。因此用合適的區域變換方法將螺槽區域變成規則化的區域,將大大簡化對雙螺桿擠出機流體的計算。
將一個截面在一個轉動周期中不同時刻的區域形狀經過規則化變換變為相同的圓界區域,再將雙螺桿擠出機流體流動區域的截面轉化成圓界區域后,求解區域非但不受時間影響,還變成了規則的、截面為三連通圓界(形狀)區域的柱體,從而克服了求解雙螺桿擠出機流體流動問題的主要困難。文獻[4-6]研究了用區域變換方法求解單螺桿擠出機的流體流動問題,但其采用的方法只適用于雙連通區域同心的情況,因此需要尋找更合適的共形映射方法來解決三連通區域的變換問題。
多連通區域的共形映射的計算方法有多種[7-9],通常是將區域映射到圓縫[7-8]。本文采用文獻[9]的方法將三連通區域映射到圓界區域,同時對其算法的約束條件進行修改,以保證同一桿長位置不同轉角的截面均映射到同樣的圓界區域,并更正了其中共軛調和函數求解方程式的錯誤。為了驗證共形映射算法的可行性,本文以內部邊界曲線是兩個橢圓的雙螺桿擠出機流體流動區域為例求解該時變區域上的熱傳導方程的定解,并將數值解與精確解進行比較。計算結果表明,兩解的絕對誤差較小,可以用于求解雙螺桿擠出機內部流體流動問題。
1共形映射的計算
1.1 共形映射方法的理論公式
本文使用并改進文獻[9]的方法。首先考慮一個多邊相連的有界平面區域Ωa,其邊界分量是光滑的曲線。Ωa共形等價于圓界區域Ωc。設f:Ωa→Ωc為共形映射,同時令函數u=ln|f'(z)|,則u是Ωa上的調和函數,并且滿足邊界條件(1)

式中,n是邊界分量,rv是對應的圓界邊界Ωc的半徑,s是弧長參數,X(s)是Ωa的曲率,其值取決于s位于哪個邊界上。
在區域邊界有尖角的情況下,將區域記為Ωp。式(1)中X(s)在每個尖角的值是δ函數的倍數,即X(s)=βδ(s),其中β是尖角的補角。所以共形映射f(z)可以近似表示為
f(z)=f1((z-z0)α)
式中z0是尖角點的坐標,f1是一個單值解析函數,α=π/(π-β)。因此可以得到
ln|f'(z)|=(α-1)ln|z-z0|+w
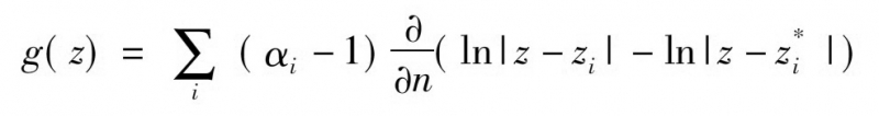
式(2)中w為調和函數的光滑部分。式(2)表明調和函數u在尖角部分有對數奇點,如果減去u中所有奇異部分,剩余部分即為在邊界上光滑的調和函數。利用公式(3)可以得到與尖角部分有相同奇點的單值函數
式(3)中,z*是Ωp區域外部線段z0z*上除z0外的一點,從調和函數u中去除所有奇點{zi}后得到一個剩余的函數w即為Ωp上的調和函數,并且w在邊界上光滑,從而得到式(4)
u = g( z) + w
式(4)中
且w滿足邊界條件
求解如式(5)的泛函φ(w)的最小值可以得到調和函數w。
式中,Cv表示Ωa的內部邊界,且
得到調和函數w后,求解Cauchy-Riemann方程

,即可得到w的共軛調和函數wc。
注意到G(z)是解析函數,則ln|G(z)|是從式(4)u中減去的奇異部分之和,因此f'(z)=exp(w+iwc)G(z)是解析函數,通過對f'(z)積分可以得到共形映射f(z)。
為了使調和函數w唯一,需要在外邊界上選取兩個點pi(i=1,2(3)),從而得到限制條件式(7)
式(7)中ai為2個固定正數,令其滿足a1+a2=2π,則式(7)可使映射f唯一,同時不影響目標網格的形狀,更重要的是可以使內部邊界的形狀和大小變得相同。
1.2數值求解
通過有限元方法對公式(5)進行離散來尋找函數φ(w)的最小值。在Ωa區域打上網格點進行三角劃分,并在每個尖角點部分進行加細處理。分別用V、E、F來表示節點、邊和三角形的集合,并將未知函數w離散化為τ上的分段線性函數。
首先,將式(5)中的第一項離散為
式中H表示三角網格的個數。將w的離散值排成列向量w',有
式中we是邊界向量,wi是內部向量。所以式(8)等式右邊可以寫成矩陣表達式

,其中系數矩陣A為對稱矩陣,可寫成
式中Aee、Aii分別對應we和wi,Aei對應交叉部分。
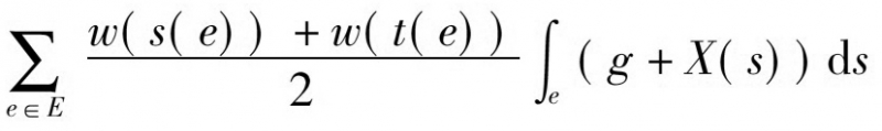
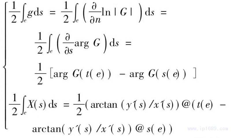
其次,將式(5)中的第二項離散為
式中e為三角網格的邊。式(9)中g,X(s)可以分別離散為
式(10)中,@S(e)表示在S(e)點的值。值得注意的是,

帶有方向性,因此式(9)可以寫成向量表達形式:λTwe,其中λ為系數向量。
最后,將式(5)中第三項離散為
式(11)中
式(12)中
式(13)中,l(e1)、l(e2)分別表示p點兩端的邊界邊的長度。
限制條件式(7)可以離散為如下形式
式中C'i是外邊界pi與pi+1之間的節點集合,且p3=p1。
綜合公式(8)~(10)的離散過程,可得式(5)的離散形式
固定we,則當wi=-Aii-1Aiewe時,φ(w')有最小值。因此式(15)的最小值問題等價于式(16)取最小值
式中A'=Aee-AieTAii-1Aie。
求得式(16)在約束條件式(14)下的最小值we,進而可得到式(15)的最小值w'。
通過求解公式(17)的最小值可以得到w的共軛調和函數
因為f'(z)=exp(w+iwc)G(z)已知,所以通過求解式(18)可以得到
式(18)的離散過程如下。
首先,對于三角網格中頂點坐標為z1,z2,z3的三角形,令f'=(f'(z1)+f'(z2)+f'(z3))/3,從而得到期望三角形的3個頂點的坐標
將坐標分為實部和虛部(xei,yei)(i=1,2(3))。
其次,該期望三角形對于式(18)離散后的實部和虛部的影響分別為
最后,采用最小二乘法對式(20)、(21)分別求最小值,得到最小值點{xi}、{yi},即得f(zk)=xk+iyk。
因為在式(17)的計算中,wc的值相差一個實常數,所以f(z)的值可以相差一個復常數。這說明求出映射后還可以作平移和旋轉變換來保持共形性質。圖1即為數值計算結果的圖示,可看出對不同的轉角,映射后的圓界區域有較高的重合度。
圖1流動截面區域到圓界區域的共形映射
2實例驗證
2.1熱傳導方程的變換
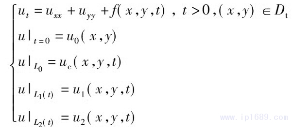
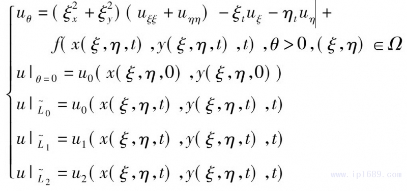
選擇一個熱傳導方程來驗證共形映射算法的可行性。設熱傳導方程的求解區域是類似于圖1中的雙螺桿擠出機截面的三連通區域,其中外邊界不隨時間變化,兩個內邊界繞各自中心旋轉。熱傳導方程如下
利用共形映射將求解區域Dt變為圓界區域,將自變量(x,y)變為(ξ,η),即得
假設此變換將Dt變為不隨時間變化的區域Ω,
邊界L0、L1(t)、L2(t)分別變為
式(24)中,螺桿轉角θ>0,(ξ,η)∈Ω。式(24)可以通過有限元方法計算求解,共形映射和其逆映射的值以及相關導數值可以通過插值和變換之間的導數關系給出。
2.2數值計算結果
選取Dt的外邊界為圓心在原點、半徑等于r的圓周,其內邊界L1(t)、L2(t)分別是橢圓,橢圓方程為
取r=2,a=0.6,b=0.8,c=0.8,ω=1,則定解問題式(22)變為
式(25)中,螺桿轉動時間t>0,(x,y)∈Dt。
給定精確解u=e-2tsin xcos y+x2。取邊界上初始網格長度0.08且均勻分布的三角網格,區域上約有1700個網格點,在此網格上計算共形映射。數值解的求解過程為:首先對t從0~π/2進行離散,再對每個離散的t計算共形映射,然后利用對稱性拓展得到π/2~π對應的離散t的共形映射,最后進行周期延拓,就可以得到所需的共形映射。將時間步長取為π/40,然后在映射網格上用有限元法求解式(25),得到t=2π時的數值解與精確解的絕對誤差如圖2所示。
圖2t=2π時數值解與精確解的絕對誤差
通過比較數值解和精確解可知,其絕對誤差在0.01范圍內,表明本文算法是可行的。
3 結論
(1)用共形映射將雙螺桿擠出機流體流動區域的截面變為圓界區域,可使求解區域不受轉動的影響,將雙螺桿擠出機流體流動區域進一步變換成截面為圓界區域的柱體區域,可以為雙螺桿擠出機這種復雜流體運動的求解提供一種精確高效的方法。
(2)利用本文方法對求解區域類似于雙螺桿擠出機截面的三連通區域的熱傳導問題進行數值實驗,得到的數值解與精確解誤差較小,從而證明了本文方法的可行性和有效性。